Open Journal of
Clinical and Medical Images


Research Article - Open Access, Volume 2

Laparoscopic right hepatectomy via anterior approach: The experience at a single center

Cheng Zhang; Chang Li; Chunming Wang; Lei Cai; Guolin He; Shunjun Fu; Mingxin Pan*

Second Department of Hepatobiliary Surgery, Zhujiang Hospital, Southern Medical University, Guangzhou, China.

*Corresponding Author: Mingxin Pan
Second Department of Hepatobiliary Surgery, Zhujiang Hospital, Southern Medical University, Guangzhou, China.
Email: xwxy@sohu.com

Received : Feb 22, 2022

Accepted : Mar 28, 2022

Published : Apr 01, 2022

Archived : www.jclinmedimages.org

Copyright : © Pan M (2022).

Abstract

Objective: To investigate the clinical effect of the “five-step” laparoscopic right hepatectomy via the anterior approach on the treatment of hepatocellular carcinoma and summarize the experience.

Background: Right hepatectomy via the anterior approach has been used for hepatocellular carcinoma in many medical centers because of its advantages. However, due to the long operation time and high technical requirements, no standard approach has been suggested for total laparoscopic right hepatectomy.

Methods: A total of 50 patients with hepatocellular carcinoma (diameter >5 cm) diagnosed at our center from December 2015 to September 2018 were retrospectively divided into an anterior approach group (AA, n = 25) and a conventional approach group (CA, n = 25). The “five-step” laparoscopic right hepatectomy via the anterior approach was used in the AA group, and the open conventional approach was used in the CA group. The perioperative results and long-term survival results of the two groups were analyzed.

Results: There was no significant difference in the preoperative clinical data, tumor pathological features and operation times between the two groups (P > 0.05). The intraoperative blood loss (P < 0.05) and blood transfusion rate (P = 0.034) in the AA group were reduced. The AA group showed better results with respect to hospital stay (P = 0.024) and postoperative liver function (P < 0.05) than those of the CA group. The three-year disease-free survival rate was greater in the AA group (P = 0.026) than that in the CA group, but the overall survival rate was not significantly different (P = 0.098).

Conclusion: The “five-step” laparoscopic right hepatectomy via the anterior approach is safe and feasible for patients with hepatocellular carcinoma.

Keywords: laparoscopy; right hepatectomy; anterior approach.

Citation: Zhang C, Li C, Wang C, Cai L, He G, et al. Laparoscopic right hepatectomy via anterior approach: The experience at a single center. Open J Clin Med Images. 2022; 2(1): 1034.

Introduction

Hepatocellular carcinoma (HCC) is the sixth most common cancer worldwide and poses a great threat to human survival and health. Surgical resection is considered as the gold standard for the treatment of patients with liver cancer, but right hepatectomy for patients with HCC remains one of the main difficulties in liver surgery. The conventional approach right hepatectomy (CA-RH) has poor short-term and long-term clinical results. Instead, the anterior approach right hepatectomy (AA-RH) is a method with an intraoperative blood loss of 480 ml and a five-year overall survival rate of 50.2%, which were better than those of the CA-RH [1]. However, there is no standard approach for laparoscopic right hepatectomy, and the number of reported cases is currently low. The main purpose of our study was to evaluate the clinical effect and long-term survival rate of the “five-step” laparoscopic AA-RH and summarize the experience of this technique.

Method

A total of 50 patients with right HCC who visited the Department of Hepatobiliary Surgery II of XX Hospital of XX University from December 2015 to September 2018 were retrospectively analyzed. The patients were divided into the AA group (n = 25) and the CA group (n = 25) according to the size and location of the tumor and the judgment of clinicians. The maximum diameter of tumors in all patients was greater than 5 cm. Preoperative imaging revealed the presence of liver cancer, and the preoperative Child Pugh scores were of grades A or B. The residual liver volume was >30%, and no additional serious important organ disease or distance metastasis were noted. All patients were operated on by the same team of physicians.

Preoperative assessment
Information from the medical history and physical examination of all patients was obtained, including biochemistry, liver function, alpha-fetoprotein, abnormal prothrombin, abdominal ultrasound, enhanced computerized tomography scan of the chest and upper abdomen, and 15-minute indocyanine green retention rate.

Histopathology
The tumor size and resection margins were measured before specimen fixation. Vascular invasion and the presence of satellite nodules were determined by histological examination. Tumor differentiation was graded according to the Edmondson-Steiner grading system. Besides, the American Joint Committee on Cancer (AJCC) Cancer Staging Manual Version 8 and the 2019 version of the Chinese Guidelines for the Diagnosis and Treatment of Primary Liver Cancer for clinical staging, and the 2018 version of the Barcelona Clinic staging by the European Association for the Study of Liver Diseases for tumor stage grading were used. Histopathology was assessed by the Department of Pathology, XX Hospital of XX University.

Surgical method
The “five-step” laparoscopic AA-RH procedure was as follows. An umbilical puncture veress needle was selected to establish a CO2 pneumoperitoneum with a pressure of 10 – 12 mmHg. The puncture hole A was located at the umbilicus and mainly served as the observation hole. The main operation hole B was 10 mm and was located below the xiphoid process. A 10-mm main operation hole E and 5-mm auxiliary operation hole C were located at the midclavicular line and anterior axillary line under the right costal margin, respectively. Finally, the 5-mm auxiliary operation hole D was located between operation holes A and B (Figure 1). The operating surgeon was positioned on the right side of the patient and the assistant was on the left side. First, the abdominal cavity and liver were explored to understand the tumor and abdominal metastasis. We used laparoscopic intraoperative ultrasound to determine the location of the tumor in order to clarify the anatomical relationship between the tumor and the main intrahepatic vessels. Furthermore, we also determined the direction of the middle hepatic vein in the liver parenchyma.

Step 1: We dissected the recess between the root of the middle hepatic vein and the right hepatic vein (RHV) (Figure 2). Step 2: We removed the gallbladder and dissected the right hepatic artery (RHA) and the right branch of the portal vein (RPV) (Figures 3 and 4). The vessels were ligated by winding and then the location of the hepatic ischemic line could be observed. Step 3: We separated and ligated the short hepatic veins (SHVs) to reach the avascular area behind the liver. The gold finger was slowly advanced in combination with an aspirator, and then punctured up through the hepatic vein recess. An 8-mm urinary catheter was fixed at the tip of the gold finger and bypassed the liver to establish a retrohepatic tunnel (Figures 5 and 6). Step 4: We identified the ischemic line on the liver surface. The liver parenchyma was transected with an ultrasound knife along the line. The ducts greater than 2 – 3 mm were clamped with a Hem-o-lock, and the right Glisson and right hepatic vein were transected with Endo-GIA (Figure 7). Step 5: We freed the right perihepatic ligament, removed the specimen with a specimen bag, and the liver section was observed for 5 min to check for bile leakage or bleeding (Figure 8). Overall, the open CA-RH procedure freed the right perihepatic ligament first and then dissected and ligated the RHA and RPV. Finally, we transected the liver parenchyma, the right Glisson, and the RHV.

Figure 1: Trocar distribution position and layout.

Figure 2: The recess between the root of the MHV and RHV is dissected. MHV, middle hepatic vein; RHV, right hepatic vein.

Figure 3: The RHA and RPV are dissected.

Figure 4: The RPV is ligated. RPV, right portal vein. RHA, right hepatic artery; RPV, right portal vein.

Figure 5: The SHVs are dissected. SHVs, short hepatic veins.

Figure 6.1: Lifting method around the liver.

Figure 6.2: Lifting method around the liver.

Figure 6.3: Lifting method around the liver.

Figure 7.1: The right Glisson and RHV are dissected. RHV, right hepatic vein.

Figure 7.2: The right Glisson and RHV are dissected. RHV, right hepatic vein.

Figure 8: Examination of the liver section.

Postoperative nursing and follow-up
All patients were nursed by the same group of surgeons during hospitalization and were reexamined every month in the first 6 months after operation. Then, the patients were reexamined every 3-6 months at the outpatient department. Patients who did not return to the hospital regularly for reexamination were followed-up by telephone. Patients were followed-up until death or until the follow-up endpoint was reached (September 2021). All patients never failed to undergo reexamination in the specified time or specified items.

Statistical analysis

All statistical analyses were performed using SPSS version 25.0 (SPSS, Chicago, IL, USA). Continuous data are expressed as the median ± standard deviation. The differences in continuous variables were assessed with Student’s t-test, while categorical variables were compared using the Pearson’s c² test. Disease-free survival (DFS) and overall survival (OS) rates were estimated using the Kaplan-Meier method and the differences in survival distributions were compared using the log-rank test. P < 0.05 was considered as statistically significant.

Results

The preoperative clinical data and pathological characteristics of patients and tumors of the two groups are shown in Table 1. In total, 50 patients who underwent AA (n=25) or CA (n=25) were enrolled between December 2015 and September 2018. There was no significant inter-group difference in terms of sex, age, or liver function (P >0.05). Furthermore, there were no significant differences in tumor size and weight, presence or absence of capsular invasion, vascular tumor thrombosis, presence of satellite nodules and microvascular tumor thrombosis, or tumor stage and grade (P > 0.05).

Surgical clinical effect
The clinical effects of surgery are shown in Table 2. The intraoperative blood loss (P < 0.05) and blood transfusion rate (P = 0.034) were lower in the AA group than those in the CA group. Moreover, the AA group had shorter postoperative hospital stay (P = 0.024) and lower postoperative ALT (P = 0.015) and AST (P = 0.007) levels than those in the CA group. The operation time, the number of Pringle maneuver and complications were similar between the two groups (P > 0.05). The two groups of patients successfully completed the operation, and no death or liver failure occurred following the operation.

Survival
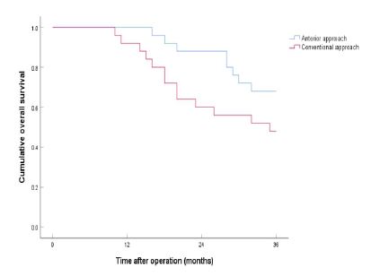
In the AA group, the one-year, two-year, and three-year DFS rates were 84%, 72%, and 64%, respectively, and those in the CA group were 72%, 48%, and 32%. In the AA group, the one-year, two-year, and three-year OS rates were 100%, 88%, and 68%, respectively and those in the CA group were 92%, 60%, and 48% (Figures 9 and 10). The three-year DFS rate (P = 0.026) was higher in the AA group than that in the CA group, but the three-year OS rate (P = 0.098) was similar.

Figure 9: Comparison of disease-free survival between the anterior approach and conventional approach, P = 0.026 (log-rank test). Disease-free survival, defined as the time from hepatectomy to the date of diagnosis of recurrence.

Figure 10: Comparison of disease-free survival between the anterior approach and conventional approach, P = 0.026 (log-rank test). Disease-free survival, defined as the time from hepatectomy to the date of diagnosis of recurrence.

Table 1: Preoperative clinical data and pathological characteristics of patients and tumors.
Item AA group (n = 25) CA group (n = 25) P-value*
Male (number, %) 18 19 0.747#
Age (y, x̄ ± sd) 49.5 ± 29.5 55 ± 12 0.875
HBsAg-positive (number, %) 19 21 0.48#
HCVAb-positive (number, %) 1 2 0.552#
Hemoglobin (g/L, x̄ ± sd) 126.5 ± 36.5 124.5 ± 35.5 0.21
WBC (×109/L, x̄ ± sd) 8.135 ± 4.935 8.15 ± 4.85 0.927
Platelets (×109/L, x̄ ± sd) 222.5 ± 122.5 226 ± 131 0.551
Total bilirubin (umol/L, x̄ ± sd) 21.3 ± 16.1 22.55 ± 17.65 0.822
Albumin (g/L, x̄ ± sd) 39.4 ± 10.7 38.15 ± 11.35 0.073
PT (s, x̄ ± sd) 14 ± 2.8 13.8 ± 2.8 0.709
International normalized ratio (x̄ ± sd) 1.12 ± 0.27 1.015 ± 0.245 0.226
ALT (IU/L, x̄ ± sd) 70.5 ± 63.5 61 ± 51 0.811
AST (IU/L, x̄ ± sd) 57 ± 46 53.5 ± 41.5 0.889
Gamma-glutamyltransferase (IU/L, x̄ ± sd) 177 ± 155 185.5 ± 156.5 0.812
Alkaline phosphatase (IU/L, x̄ ± sd) 163 ± 117 164 ± 111 0.741
Urea (mmol/L, x̄ ± sd) 5.5 ± 3.6 5.3 ± 3.2 0.07
Creatinine (umol/L, x̄ ± sd) 92.5 ± 27.5 100 ± 25 0.646
AFP > 400 μμg/mL (number, %) 20 23 0.221#
PIVKA-II > 40 mAU/mL (number, %) 21 23 0.384#
Hepatic function score grade A (number, %) 21 20 0.713#
Cirrhosis (number, %) 3 5 0.44#
ICG-R15 (%, x̄ ± sd) 6.3 ± 3.1 6.8 ± 3 0.101
Maximum tumor diameter (cm, x̄ ± sd) 12 ± 5 12.9 ± 5.1 0.907
Tumor weight (g, x̄ ± sd) 1302 ± 567 1365 ± 600 0.809
Tumor-free resection margin (cm, x̄ ± sd) 2.25 ± 1.25 2.25 ± 1.05 0.816
Microvascular tumor invasion (number, %) 7 10 0.37
Capsule invasion (number of cases, %) 9 6 0.355
Presence of satellite nodules (number, %) 5 6 0.773
Vascular tumor thrombus (number, %) 3 4 0.796
Right portal vein tumor thrombus (number, %) 2 2
Right hepatic vein tumor thrombus (number, %) 0 1
Right portal vein branch with right hepatic vein tumor thrombus (number, %) 1 1
TNM staging of liver cancer (AJCC) 0.203
IB (number, %) 16 16
II (number, %) 1 4
IIIA (number, %) 5 1
IIIB (number, %) 3 4
Liver cancer BCLC stage 0.591
Phase A (number, %) 20 17
Phase B (number , %) 2 4
Stage C (number, %) 3 4
Liver cancer Edmondson-Steiner grade 0.771
I/II (number, %) 16 15
III/IV (number, %) 9 10
Chinese Liver Cancer Staging 0.537
Ib (number, %) 16 17
IIa (number, %) 2 3
IIb (number, %) 4 1
IIIa (number, %) 3 4

AA, anterior approach; CA, conventional approach; HBsAg, hepatitis B surface antigen; HCVAb, hepatitis C virus antibody; WBC, white blood cell count; AST, aspartate aminotransferase; ALT, alanine aminotransferase; AFP, alpha-fetoprotein; PT, prothrombin time; PIVKA-II, abnormal prothrombin; ICG-R15, 15-minute indocyanine green retention; TNM, Tumor-Node-Metastasis; AJCC, American Joint Committee on Cancer; BCLC, Barcelona Clinic Liver Cancer; x̄ ± sd, mean ± standard deviation. *Student’s t-test, except #Pearson’s c² test.

*Student’s t-test, except #Pearson’s c² test. AA, anterior approach; CA, conventional approach; x̄ ± sd, mean ± standard deviation.

Table 2: Clinical effect of surgery.
Item AA group (n = 25) CA group (n = 25) P-value*
Operation time (min, x̄ ± sd) 372.5 ± 227.5 352.5 ± 197.5 0.979
Intraoperative blood loss (ml, x̄ ± sd) 450 ± 350 625 ± 425 < 0.05
Transfusion rate (number, %) 2 8 0.034#
Portal occlusion by Pringle maneuver (number, %) 20 23 0.221#
Hospital stay (d, x̄ ± sd) 12.5 ± 7.5 21 ± 13 0.024
ALT (U/L, x̄ ± sd) 358.5 ± 263.5 440 ± 295 0.015
AST (U/L, x̄ ± sd) 472.5 ± 371.5 613 ± 438 0.007
Complications (number, %) 0.659#
Pleural effusion 1 2
Gastric retention 1 4
Pulmonary infection 0 4

Discussion

Currently, AA-RH is widely used at many medical centers and its development is closely related to the new surgical instrument and anatomy theory [2-4]. In 1996, Lai et al. first used AA-RH and successfully completed 25 cases [5], and in 2001, Belghiti J et al. improved the AA-RH surgical method of lifting around the liver, which can greatly reduce the risk of vascular injury [6]. In 2012, Troisi began to explore and complete The experience of using an ultrasonic knife and treating bleeding during operation is extremely important. During the liver resection, we used the knife front one-third to two-thirds to operate and ensured that the tool head was visible to avoid damaging the pipeline. In the process, the knife head and the cutting plane should be kept in a line. When disconnecting the deep liver parenchyma, the knife head could be used to clamp the liver parenchyma around the pipelines to expose part of the vessels, and then the right-angle forceps could be used for blunt separation and to expand the exposure for further treatment. Furthermore, it was necessary to keep calm when bleeding occurred, and the assistant should cooperate with rapid blood suction to keep the operative field clear and accurately find the bleeding site. For bleeding through a small crack, electrocoagulation or home-lock clipping was preferred. When the blood vessel with a large tear or the aforementioned methods could not effectively stop the bleeding, the surgeon should suture the ruptured blood vessel with Prolene line. If the main hepatic vein needed to be repaired, the assistant could use gauze compression or forceps to stop the bleeding for a while, and then the surgeon can use an ultrasonic knife and aspirator to separate and expose the bleeding part of hepatic vein, followed by using Prolene line to suture it. In conclusion, after the bleeding site, the diameter of the bleeding vessel, the course, and the size of the injury laceration were identified, we could select the appropriate hemostasis techniques. laparoscopic AA-RH using a special device known as the “gold finger” and proposed that it could replace the role of the liver sling in open surgery [7]. This device could help achieve clear anatomy, and easily expose the vascular structure. It has been found that the prognosis of patients with AA-RH is better than that with the conventional approach, and it also has been indicated that tumor size (diameter >5 cm) may be an important clinical feature for AA-RH[8]. At our center, 25 cases of the “five-step” laparoscopic AA-RH were successfully completed, and its short-term clinical effect and long-term survival rate were superior to those of the conventional approach.

In the laparoscopic AA-RH, the most important technique was the hanging manoeuvre. Studies showed that it helped to facilitate easy exposure of the vascular structure and guide the correct path of resection [9, 10]. In our study, we found that the intraoperative blood loss (450 ± 350 ml) and blood transfusion rate (2/25) in the AA group were significantly reduced, indicating the safety of this technique. For applying this technique, it was necessary to establish the retrohepatic tunnel. First, Couinaud found a loose reticular space between the liver and the vein, now called the retrohepatic space, with very few blood vessels, which offer the theoretical possibility of establishing this tunnel [11]. To set up this tunnel, we used electric coagulation or an ultrasonic knife to carefully expose the gaps between the hepatic veins of the second portal and separated and ligated the SHVs as we could reach the retrohepatic space. Building this tunnel was essential to completing the hanging manoeuvre with the gold finger. Of course, there are many materials that can be used to lift the liver, including a rubber band, cotton, and homemade suspender [12-14]. At our center, we chose a urinary catheter to guide the correct plane because of its convenience.

The CA-RH may carry the risk of excessive intraoperative bleeding and impairing postoperative liver function. Perihepatic mobilization may cause iatrogenic tumor extrusion and rupture, which can cause cancer cells to spread into the systemic circulation, resulting in a significantly increased risk of tumor dissemination and recurrence [15-17]. Instead, AA-RH is used as a “noncontact technique” that controls the hepatic blood flow before freeing the liver, so that it can reduce the activity of the diseased liver to avoid tumor spread and effectively reduce the postoperative tumor recurrence rate [18,19]. Therefore, in this study, the three-year DFS rate (64%) of the AA group was significantly better than that of the CA group. However, the three-year OS (68%) rate in the AA group was similar, which may be related to the small sample size and shorter follow-up time. Moreover, studies have shown that the anterior approach could avoid residual lesions during hepatic parenchyma dissection and retain as much of the normal liver as possible [8,20]. We found that the postoperative ALT (358.5 ± 263.5 U/L) and AST (472.5 ± 371.5 U/L) levels, and hospital stay (12.5 ± 7.5 d) were improved in the AA group, indicating that this technique was helpful for recovering the liver function after operation. In summary, studies have confirmed that complications would be reduced when applying the hanging maneuver and the anterior approach compared with those of the conventional approach [21-23]. However, the number of complications was similar between the two groups, and there was no hemorrhage or bile leakage, and all complications were managed by conservative treatment. This outcome may be related to the small sample size.

The experience of using an ultrasonic knife and treating bleeding during operation is extremely important. During the liver resection, we used the knife front one-third to two-thirds to operate and ensured that the tool head was visible to avoid damaging the pipeline. In the process, the knife head and the cutting plane should be kept in a line. When disconnecting the deep liver parenchyma, the knife head could be used to clamp the liver parenchyma around the pipelines to expose part of the vessels, and then the right-angle forceps could be used for blunt separation and to expand the exposure for further treatment. Furthermore, it was necessary to keep calm when bleeding occurred, and the assistant should cooperate with rapid blood suction to keep the operative field clear and accurately find the bleeding site. For bleeding through a small crack, electrocoagulation or home-lock clipping was preferred. When the blood vessel with a large tear or the aforementioned methods could not effectively stop the bleeding, the surgeon should suture the ruptured blood vessel with Prolene line. If the main hepatic vein needed to be repaired, the assistant could use gauze compression or forceps to stop the bleeding for a while, and then the surgeon can use an ultrasonic knife and aspirator to separate and expose the bleeding part of hepatic vein, followed by using Prolene line to suture it. In conclusion, after the bleeding site, the diameter of the bleeding vessel, the course, and the size of the injury laceration were identified, we could select the appropriate hemostasis techniques.

Conclusion

Of note, this study has some limitations, such as the selective bias in retrospective studies. The operations of patients in the AA group were mainly concentrated from 2015 to 2016, during which the progress of laparoscopic technique had a certain influence on the choice of the surgeon. Moreover, most patients in the CA group had a strong willingness to undergo open surgery. In addition, patients with HCC as postoperative pathology were included in the study, and the number of cases was small, and the postoperative follow-up time was short. Thus, more samples and a longer follow-up time are required to verify the value of the “five-step” laparoscopic AA-RH.

Compared with open CA-RH, the “five-step” laparoscopic AA-RH can effectively reduce intraoperative blood loss and blood transfusion rate, accelerate postoperative recovery, and reduce the tumor recurrence rate, confirming its safety and effectiveness. However, large-scale randomized case-control studies are still needed to further assess its long-term survival results. This method is expected to be the standard in the future for right hepatectomy.

Declarations

Acknowledgments: We thank the Department of Pathology, Zhujiang Hospital of Southern Medical University (Guangzhou, China) for the technical support. We are grateful to all the patients at Zhujiang Hospital who participated in this study.

Statement of ethics: The studies involving human participants were reviewed and approved by Institutional Review Board of the Second Affiliated Hospital of Southern Medical University. The patients/ participants provided their written informed consent to participate in this study.

Conflict of interest statement: The authors have no conflicts of interest to declare.

Consent for publication: Written informed consent for publication was obtained from all participants.

Funding Sources: This research was supported by a grant from the Science and Technology Program of Guangzhou, China (no. 201508020053).

Author Contributions: MP and CL: conception and design. CZ: development of methodology. CZ, WC,SF and LC : acquisition of data. CZ,CL and GH: analysis and interpretation of data and writing, review, and/or revision of the manuscript. MP: administrative, technical, or material support. MP: study supervision. All authors contributed to the article and approved the submitted version.

Main points

This retrospective study evaluated the clinical effect and postoperative outcome of the “five-step” laparoscopic right hepatectomy via the anterior approach vs. conventional approach. The analysis of 50 patients with hepatocellular carcinoma revealed that the anterior approach had superior short-term clinical effect and long-term survival rate. The main points include : 1. In previous studies, the number of samples in laparoscopic right hepatectomy via the anterior approach was small. In this study, the number of samples was expanded to evaluate its short-term and long-term clinical effects. 2. There are few studies on the comparison between l laparoscopic right hepatectomy via the anterior approach and open right hepatectomy via conventional approach, especially the comparison of long-term clinical results. In this study, the long-term effects of the two methods were mainly compared to evaluate the effectiveness of the operation on the prognosis of patients with large liver cancer. 3. In this study, “five-step” laparoscopic right hepatectomy via the anterior approach was used for the treatment of right giant hepatocellular carcinoma, and its short-term and long-term clinical effects were better than those of other studies, which may be related to the surgical team’s mature laparoscopic technology, the progress of instruments and the further understanding of anatomical structure. 4.We believe that our study makes a significant contribution to the literature because currently, there is no standard approach for laparoscopic right hepatectomy, and the approach used had implications on patient survival, postoperative outcomes, and complications.

References

  1. Beppu T, Imai K, Okuda K, et al. Anterior approach for right hepatectomy with hanging maneuver for hepatocellular carcinoma: a multi-institutional propensity score-matching study[J]. J Hepatobiliary Pancreat Sci. 2017; 24(3): 127-136.
  2. Yoh T, Cauchy F, Kawai T, et al. Laparoscopic right hepatectomy using the caudal approach is superior to open right hepatectomy with anterior approach and liver hanging maneuver: a comparison of short-term outcomes[J]. Surg Endosc. 2020; 34(2): 636-645.
  3. Hasegawa Y, Nitta H, Takahara T, et al. Anterior approach for pure laparoscopic donor right hepatectomy[J]. Surg Endosc, 2020; 34(10): 4677-4678.
  4. Chu H, Cao G, Tang Y, et al. Laparoscopic liver hanging maneuver through the retrohepatic tunnel on the right side of the inferior vena cava combined with a simple vascular occlusion technique for laparoscopic right hemihepatectomy[J]. Surg Endosc, 2018; 32(6): 2932-2938.
  5. Lai E C, Fan S T, Lo C M, et al. Anterior approach for difficult major right hepatectomy[J]. World J Surg. 1996; 20(3): 314-317, 318.
  6. Belghiti J, Guevara O A, Noun R, et al. Liver hanging maneuver: a safe approach to right hepatectomy without liver mobilization[J]. J Am Coll Surg. 2001; 193(1): 109-111.
  7. Troisi R I, Montalti R. Modified hanging maneuver using the goldfinger dissector in laparoscopic right and left hepatectomy[J]. Dig Surg. 2012; 29(6): 463-467.
  8. Chen H W, Deng F W, Wang F J, et al. Laparoscopic Right Hepatectomy Via an Anterior Approach for Hepatocellular Carcinoma[J]. JSLS. 2018: 22(1).
  9. Araki K, Kubo N, Ishii N, et al. Left Lobe Mobilization Strategy of Right-Sided Major Hepatectomy for Treatment of a Tumor Causing Severe Inferior Vena Cava Compression: A Novel Strategy Using the Modified Liver-Hanging Maneuver[J]. Ann Surg Oncol, 2018; 25(5): 1150-1151.
  10. Hasegawa Y, Nitta H, Takahara T, et al. Anterior approach for pure laparoscopic donor right hepatectomy[J]. Surg Endosc. 2020
  11. Couinaud C. Exposure of the left hepatic duct through the hilum or in the umbilical of the liver: anatomic limitations[J]. Surgery, 1989; 105(1): 21-27.
  12. Nanashima A, Nagayasu T. Development and clinical usefulness of the liver hanging maneuver in various anatomical hepatectomy procedures[J]. Surg Today. 2016; 46(4): 398-404.
  13. Ariizumi S I, Nanashima A, Yamamoto M. Anterior approach in right hepatectomy[J]. J Hepatobiliary Pancreat Sci, 2018. 25(7): 351-352.
  14. Sugimachi K, Iguchi T, Nakanoko T, et al. Inferior Right Hepatic Vein-Preserving Hepatectomy for Large Liver Tumors: Anterior Approach Using the Two-Stage Modified Hanging Maneuver (with Video)[J]. J Gastrointest Surg. 2020; 24(6): 1444-1447.
  15. Zhang Y, Wu Z, Wang K, et al. Long-term survival after anterior approach right hepatectomy combined with inferior vena cava thrombectomy using trans-diaphragmatic intrapericardial inferior vena cava occlusion: a case report and review of the literature[J]. BMC Surg. 2019; 19(1): 122.
  16. Ratti F, Cipriani F, Catena M, et al. Approach to hepatocaval confluence during laparoscopic right hepatectomy: three variations on a theme[J]. Surg Endosc. 2017; 31(2): 949.
  17. Llado L, Munoz A, Ramos E, et al. The anterior hanging-approach improves postoperative course after right hepatectomy in patients with colorectal liver metastases. Results of a prospective study with propensity-score matching comparison[J]. Eur J Surg Oncol. 2016; 42(2): 176-183.
  18. Jackson N R, Hauch A, Hu T, et al. The safety and efficacy of approaches to liver resection: a meta-analysis[J]. JSLS. 2015; 19(1): e2014-e2186.
  19. Chen H W, Lai E C, Wang F J, et al. Anterior approach for right hepatectomy using the 5-steps stapling technique: A preliminary study[J]. Int J Surg. 2016; 32: 19-23.
  20. Beppu T, Imai K, Okuda K, et al. Anterior approach for right hepatectomy with hanging maneuver for hepatocellular carcinoma: a multi-institutional propensity score-matching study[J]. J Hepatobiliary Pancreat Sci. 2017; 24(3): 127-136.
  21. Zheng J, Shen S, Jiang L, et al. Outcomes of anterior approach major hepatectomy with diaphragmatic resection for single huge right lobe HCC with diaphragmatic invasion[J]. Medicine (Baltimore). 2018; 97(36): e12194.
  22. Tang J X, Li J J, Weng R H, et al. Anterior vs conventional approach right hepatic resection for large hepatocellular carcinoma: A systematic review and meta-analysis[J]. World J Gastroenterol. 2017; 23(44): 7917-7929.
  23. Llado L, Munoz A, Ramos E, et al. The anterior hanging-approach improves postoperative course after right hepatectomy in patients with colorectal liver metastases. Results of a prospective study with propensity-score matching comparison[J]. Eur J Surg Oncol. 2016; 42(2): 176-183.